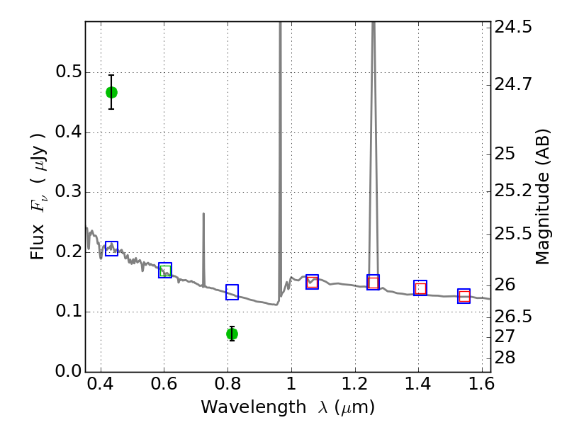
RXC0032+18 ACS+IR detection object #3742

Color images and BPZ results
Catalog: 3742.cat
Black segments are analyzed here.   Roll mouse over color images to view segments.
Best viewed in a wide browser window (1200 pixels or more).   Download SED & P(z) plots to view larger versions.
In P(z) plots: Yellow lines mark the cluster redshift z = 0.396,  

Object #3742   x,y = (189, 2167)   RA, Dec = (00:32:20.976, 18:07:32.88) = (8.08740, 18.12580)   BPZ = 1.593 [1.429--2.118]   type = 11.00 (SB11_A_0_l)   chisq2 = 81.94   ODDS = 0.52   z_cluster = 0.396