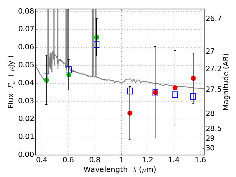
RXC0032+18 ACS+IR detection object #2749

Color images and BPZ results
Catalog: 2749.cat
Black segments are analyzed here.   Roll mouse over color images to view segments.
Best viewed in a wide browser window (1200 pixels or more).   Download SED & P(z) plots to view larger versions.
In P(z) plots: Yellow lines mark the cluster redshift z = 0.396,  

Object #2749   x,y = (1907, 2599)   RA, Dec = (00:32:13.752, 18:07:58.80) = (8.05730, 18.13300)   BPZ = 0.204 [0.100--3.401]   type = 11.00 (SB11_A_0_l)   chisq2 = 0.35   ODDS = 0.17   z_cluster = 0.396