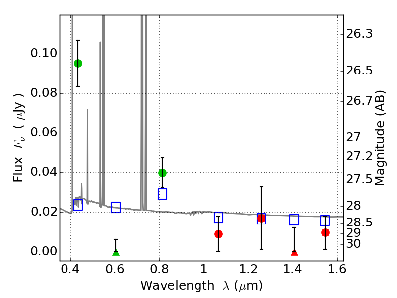
RXC0032+18 ACS+IR detection object #2387

Color images and BPZ results
Catalog: 2387.cat
Black segments are analyzed here.   Roll mouse over color images to view segments.
Best viewed in a wide browser window (1200 pixels or more).   Download SED & P(z) plots to view larger versions.
In P(z) plots: Yellow lines mark the cluster redshift z = 0.396,  

Object #2387   x,y = (2758, 2780)   RA, Dec = (00:32:10.176, 18:08:09.60) = (8.04240, 18.13600)   BPZ = 0.105 [0.095--2.526]   type = 11.00 (SB11_A_0_l)   chisq2 = 13.25   ODDS = 0.12   z_cluster = 0.396