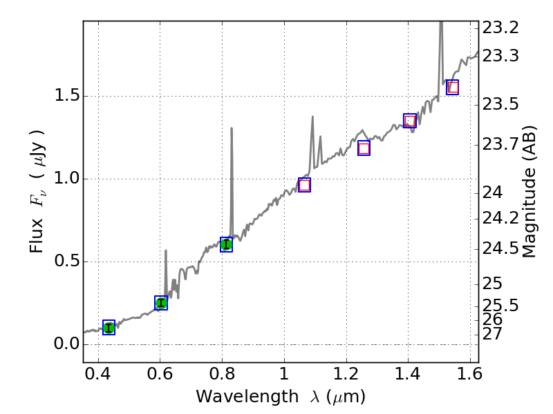
RXC0032+18 ACS+IR detection object #196

Color images and BPZ results
Catalog: 196.cat
Black segments are analyzed here.   Roll mouse over color images to view segments.
Best viewed in a wide browser window (1200 pixels or more).   Download SED & P(z) plots to view larger versions.
In P(z) plots: Yellow lines mark the cluster redshift z = 0.396,  

Object #196   x,y = (2188, 4627)   RA, Dec = (00:32:12.576, 18:10:00.48) = (8.05240, 18.16680)   BPZ = 0.661 [0.369--1.427]   type = 6.60 (Scd_B10 - Sbc_B10)   chisq2 = 0.00   ODDS = 0.28   z_cluster = 0.396