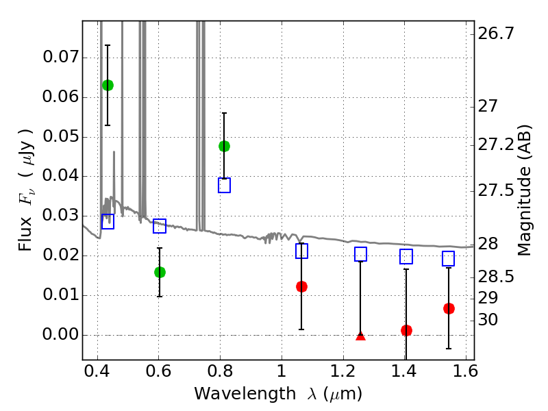
RXC0032+18 ACS+IR detection object #1709

Color images and BPZ results
Catalog: 1709.cat
Black segments are analyzed here.   Roll mouse over color images to view segments.
Best viewed in a wide browser window (1200 pixels or more).   Download SED & P(z) plots to view larger versions.
In P(z) plots: Yellow lines mark the cluster redshift z = 0.396,  

Object #1709   x,y = (3312, 3121)   RA, Dec = (00:32:07.848, 18:08:30.12) = (8.03270, 18.14170)   BPZ = 0.108 [0.085--2.588]   type = 11.00 (SB11_A_0_l)   chisq2 = 4.97   ODDS = 0.30   z_cluster = 0.396