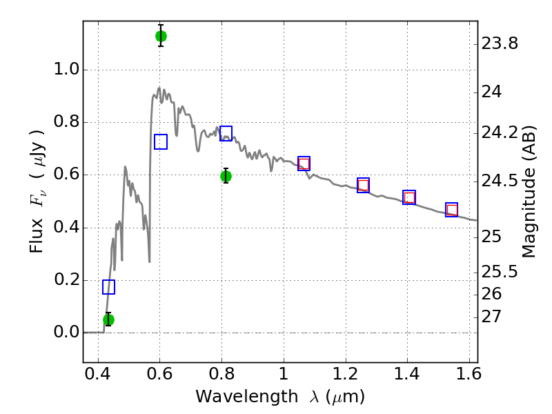
RXC0032+18 ACS+IR detection object #1431

Color images and BPZ results
Catalog: 1431.cat
Black segments are analyzed here.   Roll mouse over color images to view segments.
Best viewed in a wide browser window (1200 pixels or more).   Download SED & P(z) plots to view larger versions.
In P(z) plots: Yellow lines mark the cluster redshift z = 0.396,  

Object #1431   x,y = (929, 3324)   RA, Dec = (00:32:17.880, 18:08:42.36) = (8.07450, 18.14510)   BPZ = 3.672 [3.622--3.751]   type = 11.00 (SB11_A_0_l)   chisq2 = 51.59   ODDS = 1.00   z_cluster = 0.396