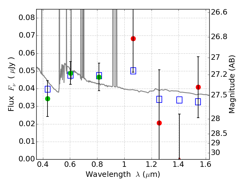
RXC0032+18 ACS+IR detection object #1040

Color images and BPZ results
Catalog: 1040.cat
Black segments are analyzed here.   Roll mouse over color images to view segments.
Best viewed in a wide browser window (1200 pixels or more).   Download SED & P(z) plots to view larger versions.
In P(z) plots: Yellow lines mark the cluster redshift z = 0.396,  

Object #1040   x,y = (2997, 3621)   RA, Dec = (00:32:09.168, 18:09:0) = (8.03820, 18.15000)   BPZ = 0.397 [0.101--3.454]   type = 11.00 (SB11_A_0_l)   chisq2 = 0.81   ODDS = 0.14   z_cluster = 0.396