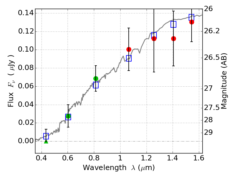
RXC0032+18 IR detection object #968

Color images and BPZ results
Catalog: 968.cat
Black segments are analyzed here.   Roll mouse over color images to view segments.
Best viewed in a wide browser window (1200 pixels or more).   Download SED & P(z) plots to view larger versions.
In P(z) plots: Yellow lines mark the cluster redshift z = 0.396,  

Object #968   x,y = (3089, 1492)   RA, Dec = (00:32:08.736, 18:06:51.48) = (8.03640, 18.11430)   BPZ = 0.349 [0.135--4.852]   type = 3.00 (Ell5_A_0)   chisq2 = 0.19   ODDS = 0.16   z_cluster = 0.396