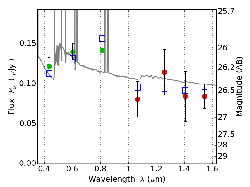
RXC0032+18 IR detection object #940

Color images and BPZ results
Catalog: 940.cat
Black segments are analyzed here.   Roll mouse over color images to view segments.
Best viewed in a wide browser window (1200 pixels or more).   Download SED & P(z) plots to view larger versions.
In P(z) plots: Yellow lines mark the cluster redshift z = 0.396,  

Object #940   x,y = (3711, 1539)   RA, Dec = (00:32:06.096, 18:06:54.36) = (8.02540, 18.11510)   BPZ = 0.273 [0.065--3.061]   type = 11.00 (SB11_A_0_l)   chisq2 = 0.67   ODDS = 0.35   z_cluster = 0.396