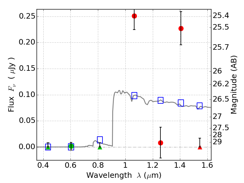
RXC0032+18 IR detection object #55

Color images and BPZ results
Catalog: 55.cat
Black segments are analyzed here.   Roll mouse over color images to view segments.
Best viewed in a wide browser window (1200 pixels or more).   Download SED & P(z) plots to view larger versions.
In P(z) plots: Yellow lines mark the cluster redshift z = 0.396,  

Object #55   x,y = (2442, 3490)   RA, Dec = (00:32:11.448, 18:08:51.36) = (8.04770, 18.14760)   BPZ = 6.462 [6.230--6.856]   type = 11.00 (SB11_A_0_l)   chisq2 = 19.77   ODDS = 0.93   z_cluster = 0.396