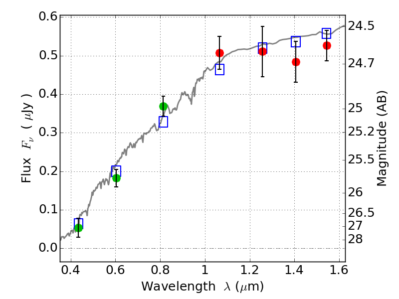
RXC0032+18 IR detection object #532

Color images and BPZ results
Catalog: 532.cat
Black segments are analyzed here.   Roll mouse over color images to view segments.
Best viewed in a wide browser window (1200 pixels or more).   Download SED & P(z) plots to view larger versions.
In P(z) plots: Yellow lines mark the cluster redshift z = 0.396,  

Object #532   x,y = (2018, 2456)   RA, Dec = (00:32:13.224, 18:07:49.44) = (8.05510, 18.13040)   BPZ = 0.103 [0.038--4.130]   type = 4.00 (Ell4_A_0)   chisq2 = 0.65   ODDS = 0.35   z_cluster = 0.396