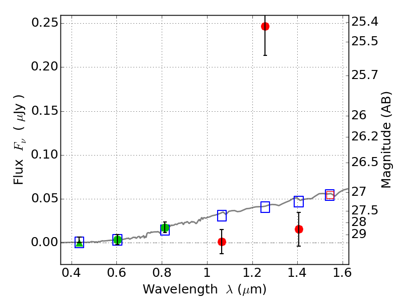
RXC0032+18 IR detection object #48

Color images and BPZ results
Catalog: 48.cat
Black segments are analyzed here.   Roll mouse over color images to view segments.
Best viewed in a wide browser window (1200 pixels or more).   Download SED & P(z) plots to view larger versions.
In P(z) plots: Yellow lines mark the cluster redshift z = 0.396,  

Object #48   x,y = (2466, 3502)   RA, Dec = (00:32:11.352, 18:08:52.08) = (8.04730, 18.14780)   BPZ = 0.836 [0.284--5.564]   type = 3.00 (Ell5_A_0)   chisq2 = 14.78   ODDS = 0.12   z_cluster = 0.396