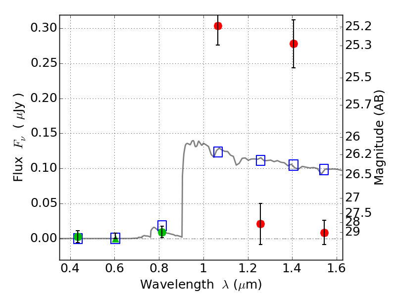
RXC0032+18 IR detection object #47

Color images and BPZ results
Catalog: 47.cat
Black segments are analyzed here.   Roll mouse over color images to view segments.
Best viewed in a wide browser window (1200 pixels or more).   Download SED & P(z) plots to view larger versions.
In P(z) plots: Yellow lines mark the cluster redshift z = 0.396,  

Object #47   x,y = (2455, 3509)   RA, Dec = (00:32:11.400, 18:08:52.44) = (8.04750, 18.14790)   BPZ = 6.444 [6.195--6.680]   type = 11.00 (SB11_A_0_l)   chisq2 = 23.40   ODDS = 0.98   z_cluster = 0.396