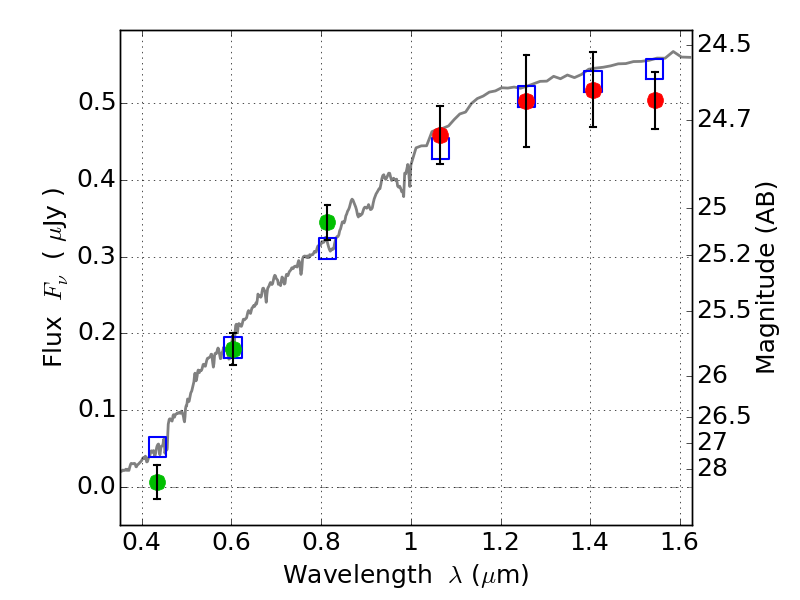
RXC0032+18 IR detection object #211

Color images and BPZ results
Catalog: 211.cat
Black segments are analyzed here.   Roll mouse over color images to view segments.
Best viewed in a wide browser window (1200 pixels or more).   Download SED & P(z) plots to view larger versions.
In P(z) plots: Yellow lines mark the cluster redshift z = 0.396,  

Object #211   x,y = (2828, 3154)   RA, Dec = (00:32:09.816, 18:08:31.20) = (8.04090, 18.14200)   BPZ = 0.148 [0.089--4.276]   type = 4.00 (Ell4_A_0)   chisq2 = 0.64   ODDS = 0.18   z_cluster = 0.396