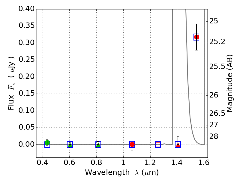
RXC0032+18 IR detection object #142

Color images and BPZ results
Catalog: 142.cat
Black segments are analyzed here.   Roll mouse over color images to view segments.
Best viewed in a wide browser window (1200 pixels or more).   Download SED & P(z) plots to view larger versions.
In P(z) plots: Yellow lines mark the cluster redshift z = 0.396,  

Object #142   x,y = (1376, 3336)   RA, Dec = (00:32:15.936, 18:08:42.36) = (8.06640, 18.14510)   BPZ = 12.318 [11.872--12.967]   type = 11.00 (SB11_A_0_l)   chisq2 = 0.02   ODDS = 0.87   z_cluster = 0.396