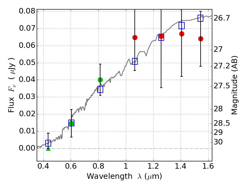
RXC0032+18 IR detection object #113

Color images and BPZ results
Catalog: 113.cat
Black segments are analyzed here.   Roll mouse over color images to view segments.
Best viewed in a wide browser window (1200 pixels or more).   Download SED & P(z) plots to view larger versions.
In P(z) plots: Yellow lines mark the cluster redshift z = 0.396,  

Object #113   x,y = (3321, 3383)   RA, Dec = (00:32:07.752, 18:08:44.88) = (8.03230, 18.14580)   BPZ = 0.349 [0.137--5.342]   type = 3.00 (Ell5_A_0)   chisq2 = 0.35   ODDS = 0.12   z_cluster = 0.396