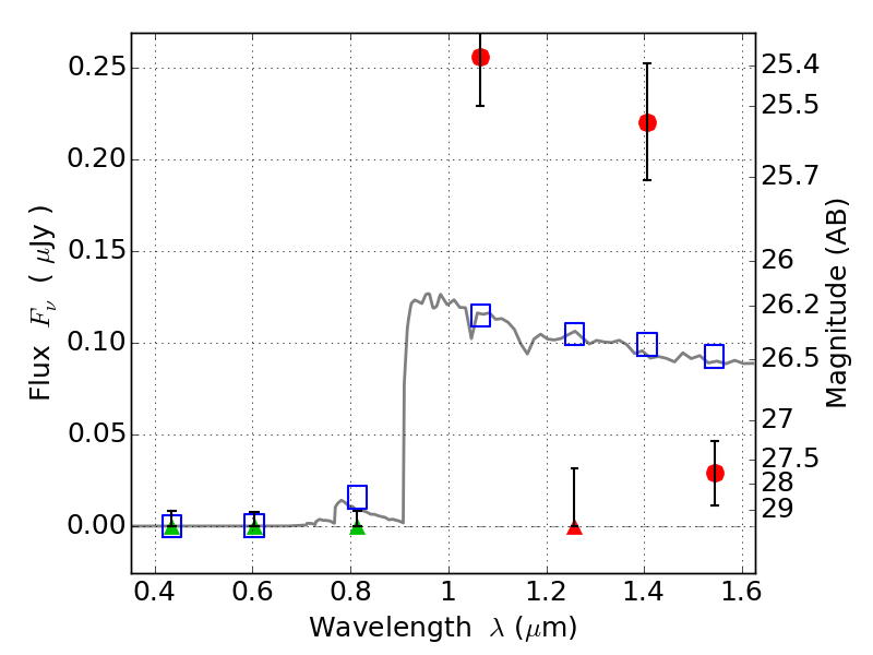
RXC0032+18 IR detection object #1080

Color images and BPZ results
Catalog: 1080.cat
Black segments are analyzed here.   Roll mouse over color images to view segments.
Best viewed in a wide browser window (1200 pixels or more).   Download SED & P(z) plots to view larger versions.
In P(z) plots: Yellow lines mark the cluster redshift z = 0.396,  

Object #1080   x,y = (2694, 1261)   RA, Dec = (00:32:10.392, 18:06:37.80) = (8.04330, 18.11050)   BPZ = 6.478 [6.272--6.865]   type = 11.00 (SB11_A_0_l)   chisq2 = 15.50   ODDS = 0.93   z_cluster = 0.396