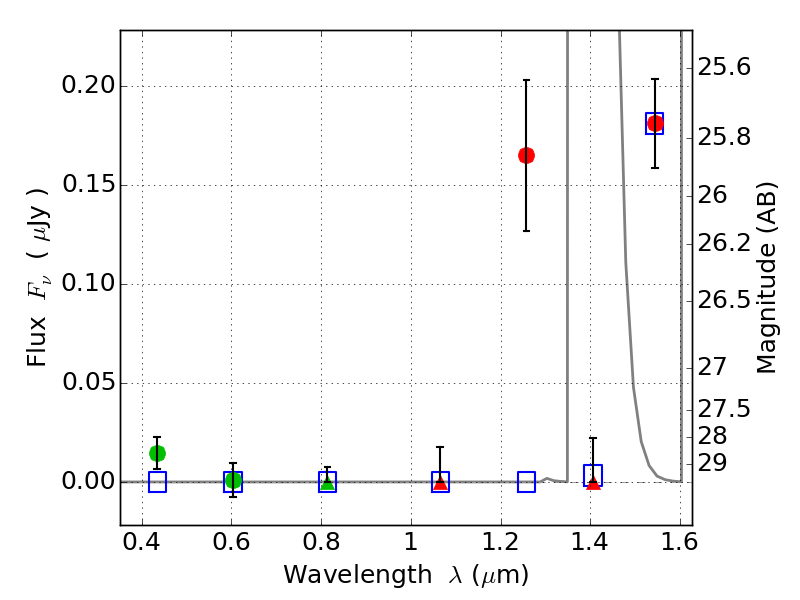
RXC0032+18 IR detection object #1068

Color images and BPZ results
Catalog: 1068.cat
Black segments are analyzed here.   Roll mouse over color images to view segments.
Best viewed in a wide browser window (1200 pixels or more).   Download SED & P(z) plots to view larger versions.
In P(z) plots: Yellow lines mark the cluster redshift z = 0.396,  

Object #1068   x,y = (2081, 1196)   RA, Dec = (00:32:12.960, 18:06:33.84) = (8.05400, 18.10940)   BPZ = 12.242 [2.703--12.944]   type = 11.00 (SB11_A_0_l)   chisq2 = 4.53   ODDS = 0.56   z_cluster = 0.396