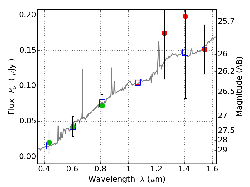
RXC0032+18 IR detection object #1016

Color images and BPZ results
Catalog: 1016.cat
Black segments are analyzed here.   Roll mouse over color images to view segments.
Best viewed in a wide browser window (1200 pixels or more).   Download SED & P(z) plots to view larger versions.
In P(z) plots: Yellow lines mark the cluster redshift z = 0.396,  

Object #1016   x,y = (3104, 1353)   RA, Dec = (00:32:08.664, 18:06:43.20) = (8.03610, 18.11200)   BPZ = 0.342 [0.115--3.843]   type = 6.70 (Scd_B10 - Sbc_B10)   chisq2 = 0.25   ODDS = 0.11   z_cluster = 0.396