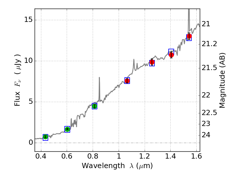
RXC0032+18 IR detection object #982

Color images and BPZ results
Catalog: 982.cat
Black segments are analyzed here.   Roll mouse over color images to view segments.
Best viewed in a wide browser window (1200 pixels or more).   Download SED & P(z) plots to view larger versions.
In P(z) plots: Yellow lines mark the cluster redshift z = 0.396,  

Object #982   x,y = (2841, 1629)   RA, Dec = (00:32:09.816, 18:07:00.48) = (8.04090, 18.11680)   BPZ = 0.705 [0.527--0.856]   type = 6.30 (Sbc_B10 - Scd_B10)   stellarity = 0.00   chisq2 = 0.05   ODDS = 0.60   z_cluster = 0.396