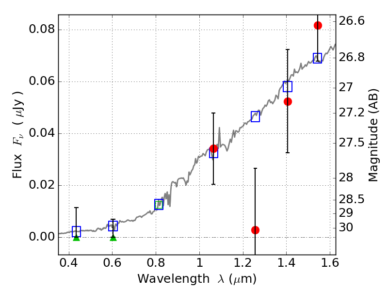
RXC0032+18 IR detection object #305

Color images and BPZ results
Catalog: 305.cat
Black segments are analyzed here.   Roll mouse over color images to view segments.
Best viewed in a wide browser window (1200 pixels or more).   Download SED & P(z) plots to view larger versions.
In P(z) plots: Yellow lines mark the cluster redshift z = 0.396,  

Object #305   x,y = (1447, 3014)   RA, Dec = (00:32:15.696, 18:08:23.64) = (8.06540, 18.13990)   BPZ = 1.185 [0.541--7.388]   type = 6.00 (Sbc_B10)   stellarity = 0.00   chisq2 = 1.48   ODDS = 0.15   z_cluster = 0.396