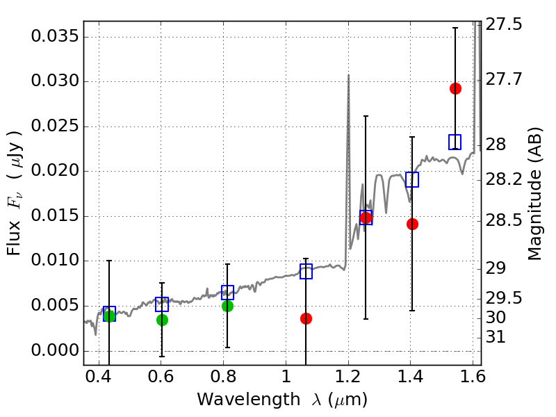
RXC0032+18 IR detection object #299

Color images and BPZ results
Catalog: 299.cat
Black segments are analyzed here.   Roll mouse over color images to view segments.
Best viewed in a wide browser window (1200 pixels or more).   Download SED & P(z) plots to view larger versions.
In P(z) plots: Yellow lines mark the cluster redshift z = 0.396,  

Object #299   x,y = (2103, 3027)   RA, Dec = (00:32:12.936, 18:08:24.36) = (8.05390, 18.14010)   BPZ = 2.224 [0.560--9.205]   type = 8.00 (SB1_B10)   stellarity = 0.69   chisq2 = 0.46   ODDS = 0.12   z_cluster = 0.396