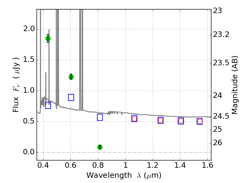
RXC0032+18 ACS+IR detection object #4085

Color images and BPZ results
Catalog: 4085.cat
Black segments are analyzed here.   Roll mouse over color images to view segments.
Best viewed in a wide browser window (1200 pixels or more).   Download SED & P(z) plots to view larger versions.
In P(z) plots: Yellow lines mark the cluster redshift z = 0.396,  

Object #4085   x,y = (4146, 1832)   RA, Dec = (00:32:04.344, 18:07:12.72) = (8.01810, 18.12020)   BPZ = 0.017 [0.010--0.032]   type = 11.00 (SB11_A_0_l)   chisq2 = 235.30   ODDS = 1.00   z_cluster = 0.396