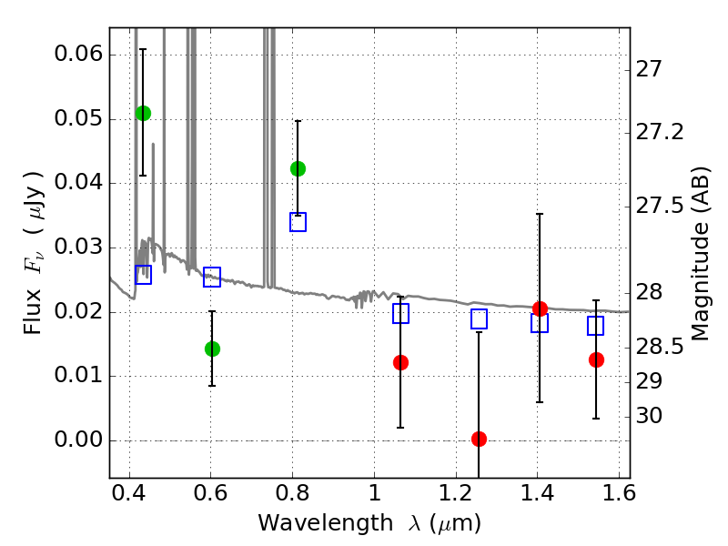
RXC0032+18 ACS+IR detection object #3815

Color images and BPZ results
Catalog: 3815.cat
Black segments are analyzed here.   Roll mouse over color images to view segments.
Best viewed in a wide browser window (1200 pixels or more).   Download SED & P(z) plots to view larger versions.
In P(z) plots: Yellow lines mark the cluster redshift z = 0.396,  

Object #3815   x,y = (1883, 2013)   RA, Dec = (00:32:13.848, 18:07:23.52) = (8.05770, 18.12320)   BPZ = 0.117 [0.091--2.667]   type = 11.00 (SB11_A_0_l)   chisq2 = 3.17   ODDS = 0.21   z_cluster = 0.396