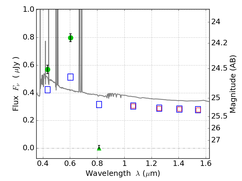
RXC0032+18 ACS+IR detection object #3240

Color images and BPZ results
Catalog: 3240.cat
Black segments are analyzed here.   Roll mouse over color images to view segments.
Best viewed in a wide browser window (1200 pixels or more).   Download SED & P(z) plots to view larger versions.
In P(z) plots: Yellow lines mark the cluster redshift z = 0.396,  

Object #3240   x,y = (4451, 2349)   RA, Dec = (00:32:03.048, 18:07:43.68) = (8.01270, 18.12880)   BPZ = 0.019 [0.010--0.032]   type = 11.00 (SB11_A_0_l)   chisq2 = 114.40   ODDS = 1.00   z_cluster = 0.396