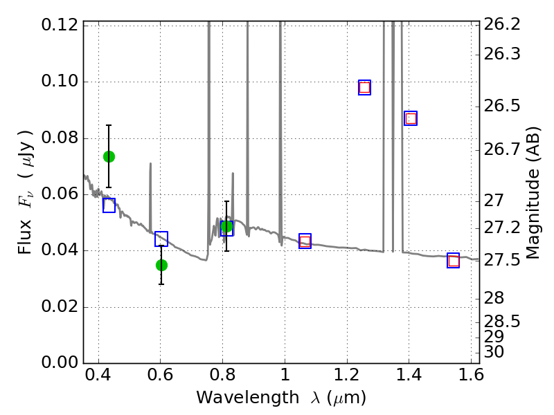
RXC0032+18 ACS+IR detection object #1815

Color images and BPZ results
Catalog: 1815.cat
Black segments are analyzed here.   Roll mouse over color images to view segments.
Best viewed in a wide browser window (1200 pixels or more).   Download SED & P(z) plots to view larger versions.
In P(z) plots: Yellow lines mark the cluster redshift z = 0.396,  

Object #1815   x,y = (4119, 3087)   RA, Dec = (00:32:04.440, 18:08:27.96) = (8.01850, 18.14110)   BPZ = 1.030 [0.639--2.471]   type = 11.00 (SB11_A_0_l)   chisq2 = 2.78   ODDS = 0.16   z_cluster = 0.396