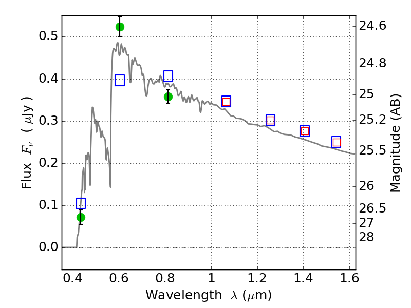
RXC0032+18 ACS+IR detection object #160

Color images and BPZ results
Catalog: 160.cat
Black segments are analyzed here.   Roll mouse over color images to view segments.
Best viewed in a wide browser window (1200 pixels or more).   Download SED & P(z) plots to view larger versions.
In P(z) plots: Yellow lines mark the cluster redshift z = 0.396,  

Object #160   x,y = (1954, 4651)   RA, Dec = (00:32:13.560, 18:10:01.92) = (8.05650, 18.16720)   BPZ = 3.636 [3.565--3.717]   type = 11.00 (SB11_A_0_l)   chisq2 = 16.02   ODDS = 1.00   z_cluster = 0.396