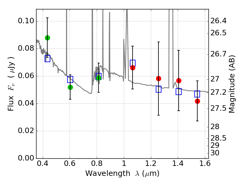
RXC0032+18 ACS+IR detection object #1596

Color images and BPZ results
Catalog: 1596.cat
Black segments are analyzed here.   Roll mouse over color images to view segments.
Best viewed in a wide browser window (1200 pixels or more).   Download SED & P(z) plots to view larger versions.
In P(z) plots: Yellow lines mark the cluster redshift z = 0.396,  

Object #1596   x,y = (3283, 3168)   RA, Dec = (00:32:07.968, 18:08:33.00) = (8.03320, 18.14250)   BPZ = 1.065 [0.480--2.548]   type = 11.00 (SB11_A_0_l)   chisq2 = 0.42   ODDS = 0.16   z_cluster = 0.396