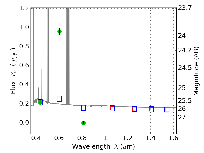
RXC0032+18 ACS+IR detection object #1500

Color images and BPZ results
Catalog: 1500.cat
Black segments are analyzed here.   Roll mouse over color images to view segments.
Best viewed in a wide browser window (1200 pixels or more).   Download SED & P(z) plots to view larger versions.
In P(z) plots: Yellow lines mark the cluster redshift z = 0.396,  

Object #1500   x,y = (904, 3229)   RA, Dec = (00:32:17.976, 18:08:36.60) = (8.07490, 18.14350)   BPZ = 0.017 [0.010--0.034]   type = 11.00 (SB11_A_0_l)   chisq2 = 372.50   ODDS = 1.00   z_cluster = 0.396