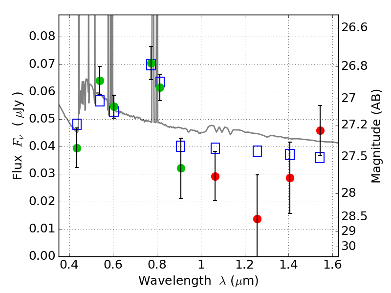
RXC0018+16 IR detection object #654

Color images and BPZ results
Catalog: 654.cat
Black segments are analyzed here.   Roll mouse over color images to view segments.
Best viewed in a wide browser window (1200 pixels or more).   Download SED & P(z) plots to view larger versions.
In P(z) plots: Yellow lines mark the cluster redshift z = 0.546,  

Object #654   x,y = (5062, 3546)   RA, Dec = (00:18:28.704, 16:26:08.88) = (4.61960, 16.43580)   BPZ = 0.192 [0.081--2.979]   type = 11.00 (SB11_A_0_l)   stellarity = 0.03   chisq2 = 1.04   ODDS = 0.69   z_cluster = 0.546