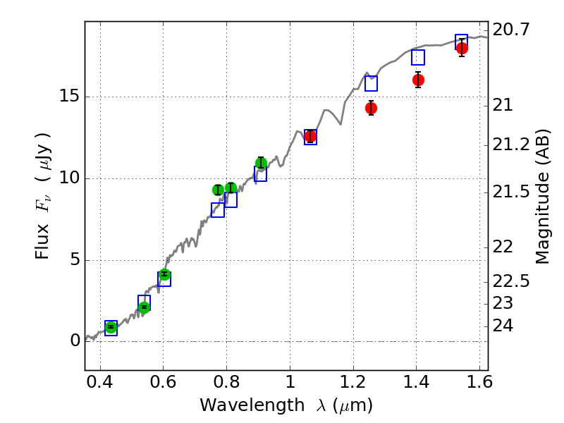
RXC0018+16 IR detection object #1068

Color images and BPZ results
Catalog: 1068.cat
Black segments are analyzed here.   Roll mouse over color images to view segments.
Best viewed in a wide browser window (1200 pixels or more).   Download SED & P(z) plots to view larger versions.
In P(z) plots: Yellow lines mark the cluster redshift z = 0.546,  

Object #1068   x,y = (3527, 2791)   RA, Dec = (00:18:35.112, 16:25:23.88) = (4.64630, 16.42330)   BPZ = 0.358 [0.335--0.380]   type = 4.00 (Ell4_A_0)   stellarity = 0.03   chisq2 = 0.60   ODDS = 1.00   z_cluster = 0.546