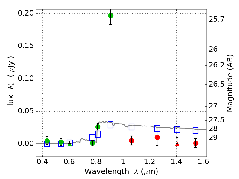
RXC0018+16 ACS+IR detection object #9890

Color images and BPZ results
Catalog: 9890.cat
Black segments are analyzed here.   Roll mouse over color images to view segments.
Best viewed in a wide browser window (1200 pixels or more).   Download SED & P(z) plots to view larger versions.
In P(z) plots: Yellow lines mark the cluster redshift z = 0.546,  

Object #9890   x,y = (4068, 2603)   RA, Dec = (00:18:32.856, 16:25:12.36) = (4.63690, 16.42010)   BPZ = 5.653 [5.191--5.838]   type = 11.00 (SB11_A_0_l)   stellarity = 0.41   chisq2 = 24.56   ODDS = 0.89   z_cluster = 0.546