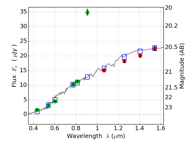
RXC0018+16 ACS+IR detection object #9593

Color images and BPZ results
Catalog: 9593.cat
Black segments are analyzed here.   Roll mouse over color images to view segments.
Best viewed in a wide browser window (1200 pixels or more).   Download SED & P(z) plots to view larger versions.
In P(z) plots: Yellow lines mark the cluster redshift z = 0.546,  

Object #9593   x,y = (4231, 2671)   RA, Dec = (00:18:32.160, 16:25:16.68) = (4.63400, 16.42130)   BPZ = 0.341 [0.315--0.367]   type = 4.00 (Ell4_A_0)   stellarity = 0.03   chisq2 = 21.22   ODDS = 0.98   z_cluster = 0.546