RXC0018+16 ACS+IR detection object #9132

Color images and BPZ results
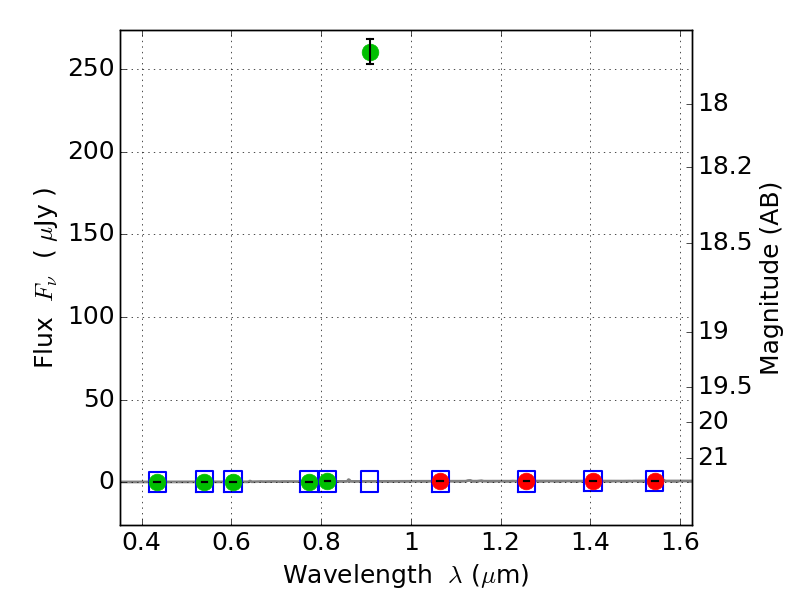
Catalog: 9132.cat
Black segments are analyzed here.   Roll mouse over color images to view segments.
Best viewed in a wide browser window (1200 pixels or more).   Download SED & P(z) plots to view larger versions.
In P(z) plots: Yellow lines mark the cluster redshift z = 0.546,  

Object #9132   x,y = (4159, 2835)   RA, Dec = (00:18:32.472, 16:25:26.40) = (4.63530, 16.42400)   BPZ = 0.722 [0.354--0.931]   type = 8.30 (SB1_B10 - SB2_B10)   stellarity = 0.98   chisq2 = 163.70   ODDS = 0.31   z_cluster = 0.546