RXC0018+16 ACS+IR detection object #5711

Color images and BPZ results
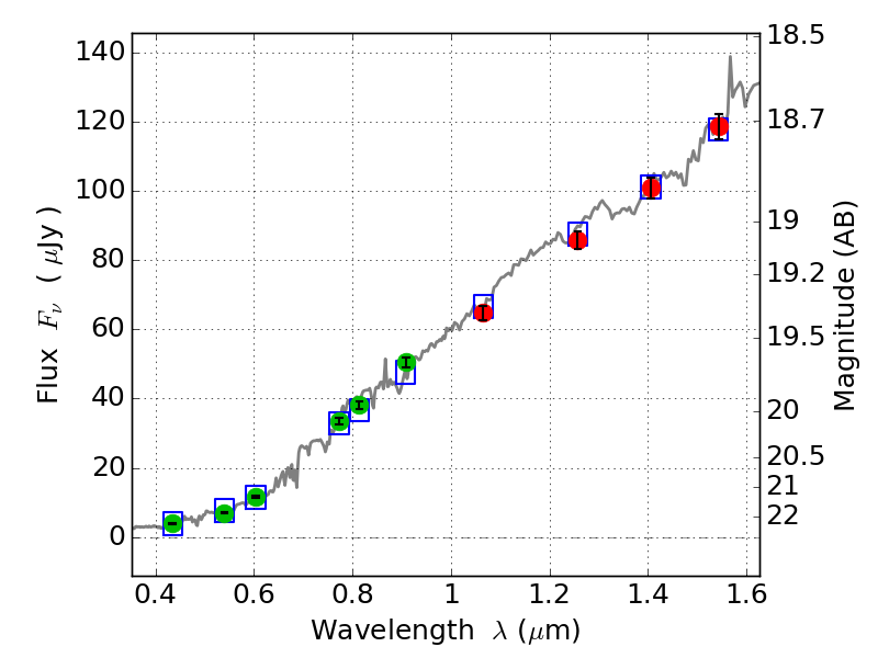
Catalog: 5711.cat
Black segments are analyzed here.   Roll mouse over color images to view segments.
Best viewed in a wide browser window (1200 pixels or more).   Download SED & P(z) plots to view larger versions.
In P(z) plots: Yellow lines mark the cluster redshift z = 0.546,  

Object #5711   x,y = (4483, 4081)   RA, Dec = (00:18:31.104, 16:26:41.28) = (4.62960, 16.44480)   BPZ = 0.733 [0.663--0.767]   type = 5.90 (Sbc_B10 - ES0_B10)   stellarity = 0.03   chisq2 = 0.04   ODDS = 0.98   z_cluster = 0.546