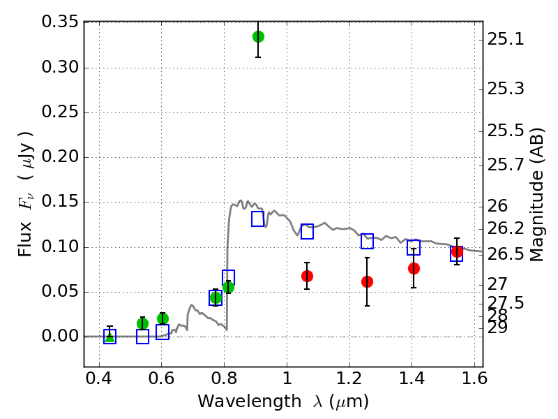
RXC0018+16 ACS+IR detection object #5567

Color images and BPZ results
Catalog: 5567.cat
Black segments are analyzed here.   Roll mouse over color images to view segments.
Best viewed in a wide browser window (1200 pixels or more).   Download SED & P(z) plots to view larger versions.
In P(z) plots: Yellow lines mark the cluster redshift z = 0.546,  

Object #5567   x,y = (3429, 4018)   RA, Dec = (00:18:35.520, 16:26:37.32) = (4.64800, 16.44370)   BPZ = 5.660 [5.499--5.784]   type = 11.00 (SB11_A_0_l)   stellarity = 0.49   chisq2 = 11.78   ODDS = 1.00   z_cluster = 0.546