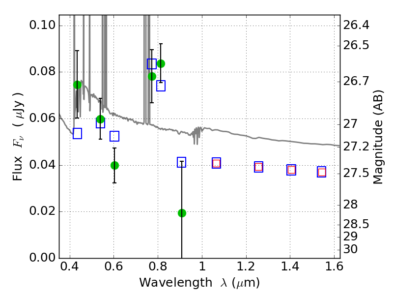
RXC0018+16 ACS+IR detection object #4788

Color images and BPZ results
Catalog: 4788.cat
Black segments are analyzed here.   Roll mouse over color images to view segments.
Best viewed in a wide browser window (1200 pixels or more).   Download SED & P(z) plots to view larger versions.
In P(z) plots: Yellow lines mark the cluster redshift z = 0.546,  

Object #4788   x,y = (4982, 4344)   RA, Dec = (00:18:29.040, 16:26:57.12) = (4.62100, 16.44920)   BPZ = 0.132 [0.092--2.090]   type = 11.00 (SB11_A_0_l)   stellarity = 0.35   chisq2 = 1.89   ODDS = 0.35   z_cluster = 0.546