RXC0018+16 ACS+IR detection object #13884

Color images and BPZ results
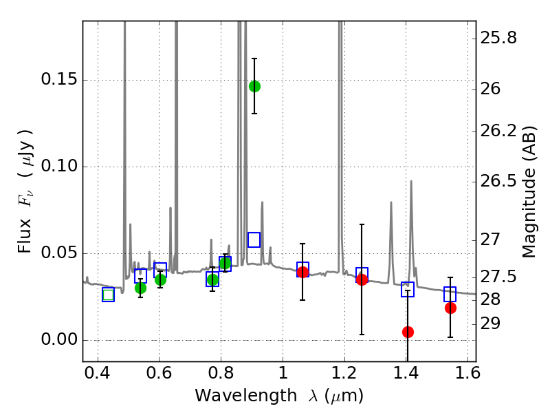
Catalog: 13884.cat
Black segments are analyzed here.   Roll mouse over color images to view segments.
Best viewed in a wide browser window (1200 pixels or more).   Download SED & P(z) plots to view larger versions.
In P(z) plots: Yellow lines mark the cluster redshift z = 0.546,  

Object #13884   x,y = (3647, 4648)   RA, Dec = (00:18:34.608, 16:27:15.12) = (4.64420, 16.45420)   BPZ = 0.313 [0.278--0.794]   type = 10.10 (SB3_B10 - SB11_A_0_l)   stellarity = 0.41   chisq2 = 5.42   ODDS = 0.81   z_cluster = 0.546