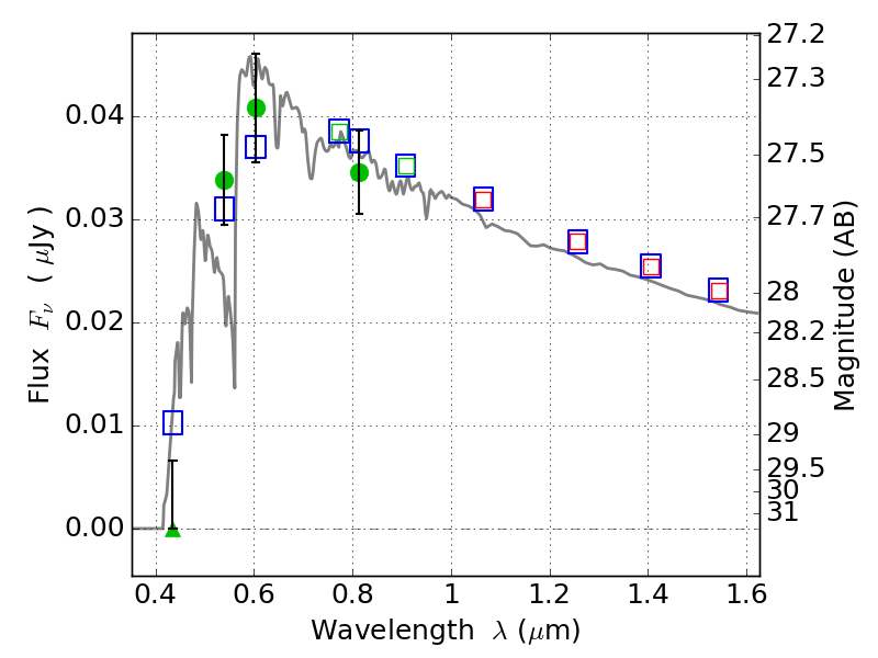
RXC0018+16 ACS+IR detection object #13270

Color images and BPZ results
Catalog: 13270.cat
Black segments are analyzed here.   Roll mouse over color images to view segments.
Best viewed in a wide browser window (1200 pixels or more).   Download SED & P(z) plots to view larger versions.
In P(z) plots: Yellow lines mark the cluster redshift z = 0.546,  

Object #13270   x,y = (5375, 4970)   RA, Dec = (00:18:27.408, 16:27:34.56) = (4.61420, 16.45960)   BPZ = 3.620 [0.418--3.822]   type = 11.00 (SB11_A_0_l)   stellarity = 0.69   chisq2 = 3.20   ODDS = 0.66   z_cluster = 0.546