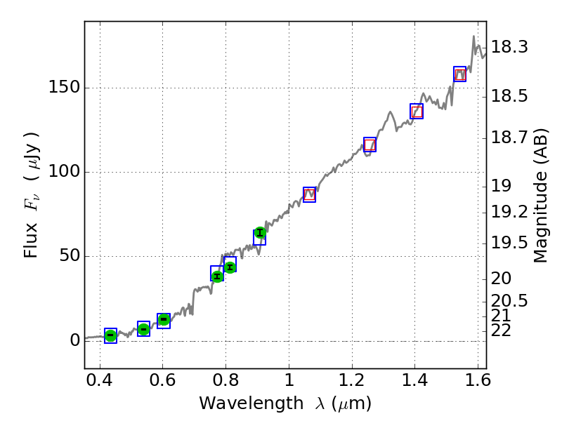
RXC0018+16 ACS+IR detection object #12694

Color images and BPZ results
Catalog: 12694.cat
Black segments are analyzed here.   Roll mouse over color images to view segments.
Best viewed in a wide browser window (1200 pixels or more).   Download SED & P(z) plots to view larger versions.
In P(z) plots: Yellow lines mark the cluster redshift z = 0.546,  

Object #12694   x,y = (4053, 5085)   RA, Dec = (00:18:32.904, 16:27:41.40) = (4.63710, 16.46150)   BPZ = 0.749 [0.715--0.854]   type = 5.40 (ES0_B10 - Sbc_B10)   stellarity = 0.03   chisq2 = 0.05   ODDS = 0.80   z_cluster = 0.546