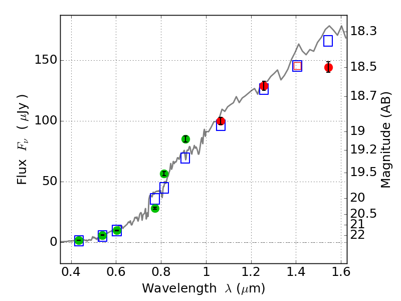
RXC0018+16 IR detection object #250

Color images and BPZ results
Catalog: 250.cat
Black segments are analyzed here.   Roll mouse over color images to view segments.
Best viewed in a wide browser window (1200 pixels or more).   Download SED & P(z) plots to view larger versions.
In P(z) plots: Yellow lines mark the cluster redshift z = 0.546,  

Object #250   x,y = (3585, 4148)   RA, Dec = (00:18:34.872, 16:26:45.24) = (4.64530, 16.44590)   BPZ = 0.871 [0.848--0.894]   type = 4.00 (Ell4_A_0)   stellarity = 0.85   chisq2 = 1.16   ODDS = 1.00   z_cluster = 0.546