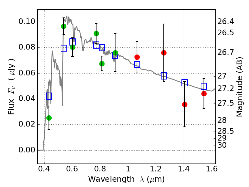
RXC0018+16 IR detection object #1195

Color images and BPZ results
Catalog: 1195.cat
Black segments are analyzed here.   Roll mouse over color images to view segments.
Best viewed in a wide browser window (1200 pixels or more).   Download SED & P(z) plots to view larger versions.
In P(z) plots: Yellow lines mark the cluster redshift z = 0.546,  

Object #1195   x,y = (3893, 2327)   RA, Dec = (00:18:33.576, 16:24:55.80) = (4.63990, 16.41550)   BPZ = 3.376 [3.139--3.528]   type = 11.00 (SB11_A_0_l)   stellarity = 0.01   chisq2 = 1.69   ODDS = 0.92   z_cluster = 0.546