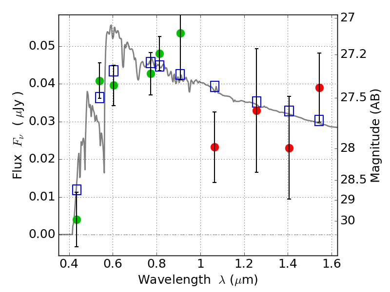
RXC0018+16 IR detection object #1120

Color images and BPZ results
Catalog: 1120.cat
Black segments are analyzed here.   Roll mouse over color images to view segments.
Best viewed in a wide browser window (1200 pixels or more).   Download SED & P(z) plots to view larger versions.
In P(z) plots: Yellow lines mark the cluster redshift z = 0.546,  

Object #1120   x,y = (3947, 2675)   RA, Dec = (00:18:33.360, 16:25:16.68) = (4.63900, 16.42130)   BPZ = 3.620 [3.280--3.829]   type = 10.60 (SB11_A_0_l - SB3_B10)   stellarity = 0.01   chisq2 = 1.05   ODDS = 0.84   z_cluster = 0.546