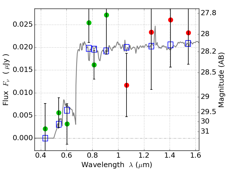
RXC0018+16 IR detection object #1005

Color images and BPZ results
Catalog: 1005.cat
Black segments are analyzed here.   Roll mouse over color images to view segments.
Best viewed in a wide browser window (1200 pixels or more).   Download SED & P(z) plots to view larger versions.
In P(z) plots: Yellow lines mark the cluster redshift z = 0.546,  

Object #1005   x,y = (4819, 2964)   RA, Dec = (00:18:29.712, 16:25:34.32) = (4.62380, 16.42620)   BPZ = 4.532 [0.431--5.027]   type = 9.60 (SB3_B10 - SB2_B10)   stellarity = 0.39   chisq2 = 0.89   ODDS = 0.33   z_cluster = 0.546