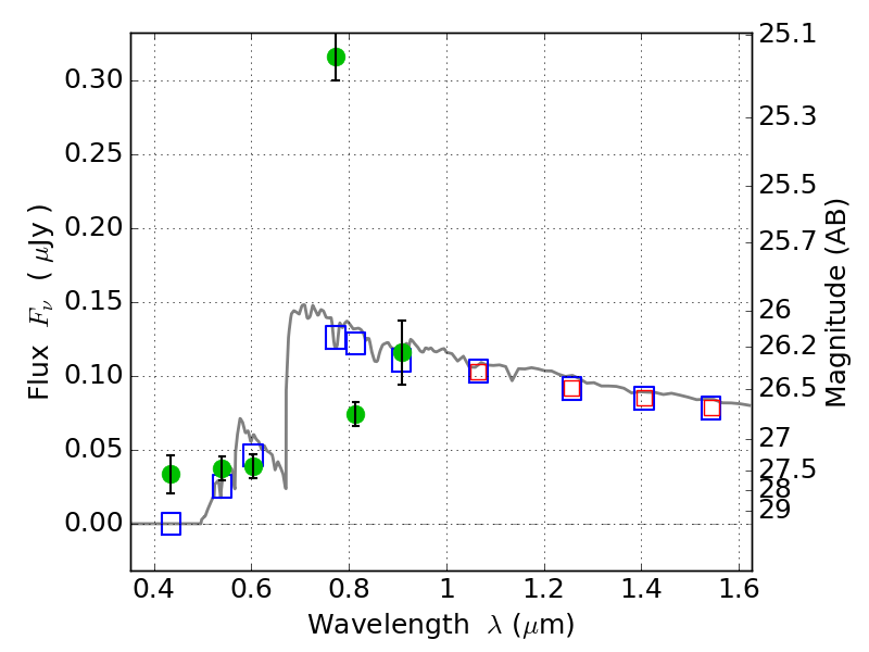
RXC0018+16 ACS+IR detection object #8498

Color images and BPZ results
Catalog: 8498.cat
Black segments are analyzed here.   Roll mouse over color images to view segments.
Best viewed in a wide browser window (1200 pixels or more).   Download SED & P(z) plots to view larger versions.
In P(z) plots: Yellow lines mark the cluster redshift z = 0.546,  

Object #8498   x,y = (5506, 2995)   RA, Dec = (00:18:26.856, 16:25:36.12) = (4.61190, 16.42670)   BPZ = 4.523 [0.642--4.650]   type = 11.00 (SB11_A_0_l)   chisq2 = 43.23   ODDS = 0.92   z_cluster = 0.546