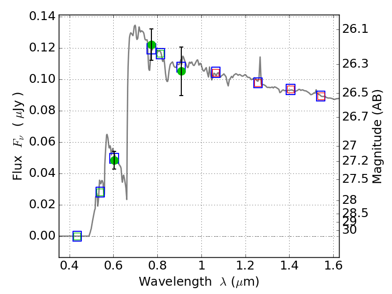
RXC0018+16 ACS+IR detection object #7940

Color images and BPZ results
Catalog: 7940.cat
Black segments are analyzed here.   Roll mouse over color images to view segments.
Best viewed in a wide browser window (1200 pixels or more).   Download SED & P(z) plots to view larger versions.
In P(z) plots: Yellow lines mark the cluster redshift z = 0.546,  

Object #7940   x,y = (6201, 3236)   RA, Dec = (00:18:23.952, 16:25:50.52) = (4.59980, 16.43070)   BPZ = 4.450 [0.525--4.583]   type = 10.30 (SB3_B10 - SB11_A_0_l)   chisq2 = 0.09   ODDS = 0.59   z_cluster = 0.546