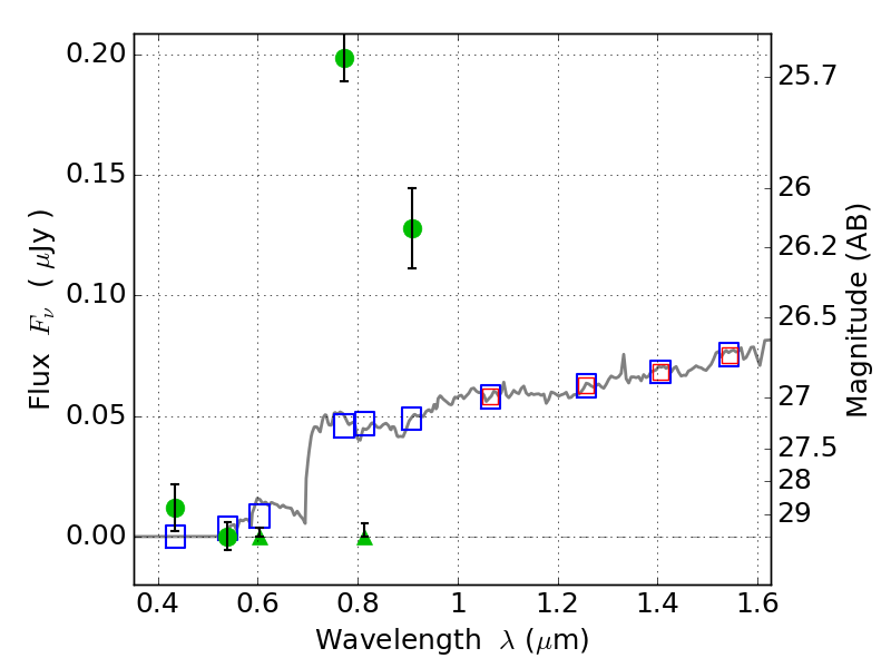
RXC0018+16 ACS+IR detection object #7709

Color images and BPZ results
Catalog: 7709.cat
Black segments are analyzed here.   Roll mouse over color images to view segments.
Best viewed in a wide browser window (1200 pixels or more).   Download SED & P(z) plots to view larger versions.
In P(z) plots: Yellow lines mark the cluster redshift z = 0.546,  

Object #7709   x,y = (5876, 3312)   RA, Dec = (00:18:25.320, 16:25:55.20) = (4.60550, 16.43200)   BPZ = 4.726 [4.565--5.103]   type = 8.00 (SB1_B10)   chisq2 = 84.19   ODDS = 0.91   z_cluster = 0.546