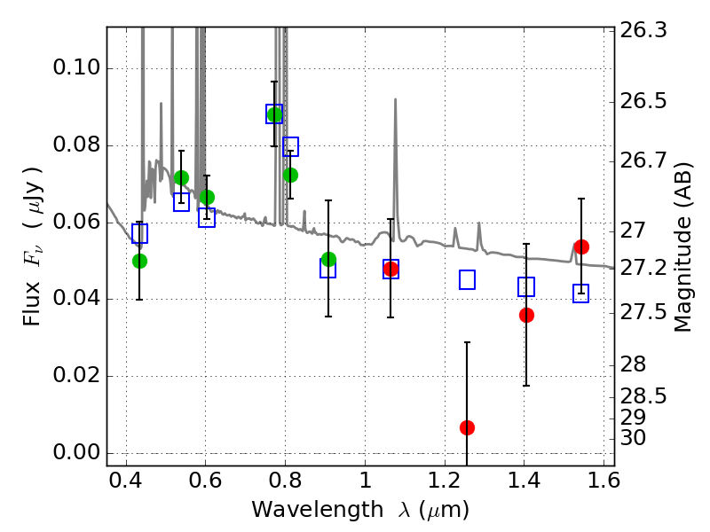
RXC0018+16 ACS+IR detection object #6909

Color images and BPZ results
Catalog: 6909.cat
Black segments are analyzed here.   Roll mouse over color images to view segments.
Best viewed in a wide browser window (1200 pixels or more).   Download SED & P(z) plots to view larger versions.
In P(z) plots: Yellow lines mark the cluster redshift z = 0.546,  

Object #6909   x,y = (5062, 3546)   RA, Dec = (00:18:28.704, 16:26:09.24) = (4.61960, 16.43590)   BPZ = 0.193 [0.075--3.270]   type = 10.90 (SB11_A_0_l - SB3_B10)   chisq2 = 0.83   ODDS = 0.58   z_cluster = 0.546