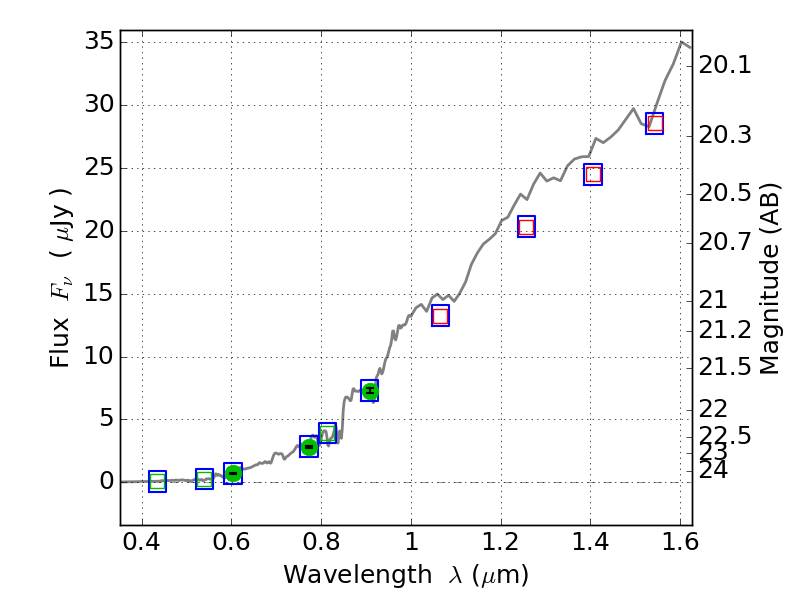
RXC0018+16 ACS+IR detection object #600

Color images and BPZ results
Catalog: 600.cat
Black segments are analyzed here.   Roll mouse over color images to view segments.
Best viewed in a wide browser window (1200 pixels or more).   Download SED & P(z) plots to view larger versions.
In P(z) plots: Yellow lines mark the cluster redshift z = 0.546,  

Object #600   x,y = (5688, 1037)   RA, Dec = (00:18:26.088, 16:23:38.40) = (4.60870, 16.39400)   BPZ = 1.130 [0.977--1.294]   type = 1.70 (Ell6_A_0 - Ell7_A_0)   chisq2 = 0.00   ODDS = 0.82   z_cluster = 0.546