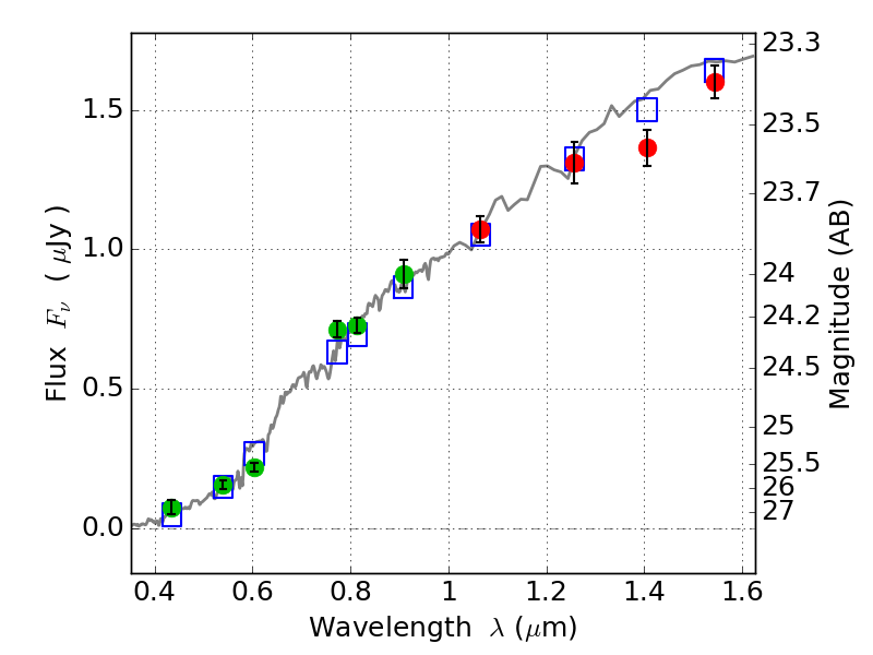
RXC0018+16 ACS+IR detection object #5905

Color images and BPZ results
Catalog: 5905.cat
Black segments are analyzed here.   Roll mouse over color images to view segments.
Best viewed in a wide browser window (1200 pixels or more).   Download SED & P(z) plots to view larger versions.
In P(z) plots: Yellow lines mark the cluster redshift z = 0.546,  

Object #5905   x,y = (3459, 3935)   RA, Dec = (00:18:35.376, 16:26:32.28) = (4.64740, 16.44230)   BPZ = 0.461 [0.392--4.348]   type = 4.00 (Ell4_A_0)   chisq2 = 0.32   ODDS = 0.91   z_cluster = 0.546